Tarski upper bound 导读
作者应该是俩中国人
Tarski定理
对于完全格 \(<L,\preceq>\),以及\(L \to L\)的单调增函数\(f\),\(f\)一定存在不动点
有点像格上的介值定理 # 文章贡献 对于n阶k维格点格(grid lattice),以及定义在其上的单调不降函数\(f\),构造出了一个\(O(\log^{\lceil \frac{k+1}{2} \rceil}n)\)算法找到一个不动点。
后文假设我们的目标是解决\(Tarski(n,k+1)\) # Step1 Reduce to \(Tarski*(n,k)\)
我们可以单独考虑某一个维度,先固定这个维度的值(也就是说取在这个格中取出一个切片)我们尝试在这个切面上找到一个prefix或者suffix。(前驱或者后继是一定存在的,因为只考虑这个切面(\(k\)维)上,一定存在不动点,这个点肯定是一个前驱或后继),很显然哉suffix到\([n]^{k+1}\)之间(或\([1]^{k+1}\)到prefix之间)一定有不动点,于是第\(k+1\)维减半。
prefix: 指一个点\(x\)满足\(f(x) \preceq x\)
suffix:指一个点\(x\)满足\(x \preceq f(x)\) ## \(Tarski*(n,k)\) 
Reduction
问题转变为求解\(Tarski*(n,k)\),假设求解\(Tarski*(n,k)\)的复杂度是\(q(n,k)\),那么,求解\(Tarski(n,k)\)的复杂度是\(O(2^k+k\log n\cdot q(n,k))\)
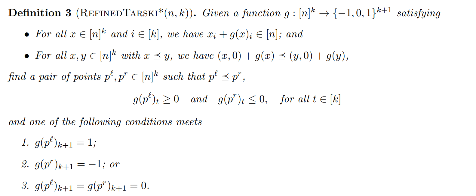
\(Refined Tarski*(n,k)\)
求解
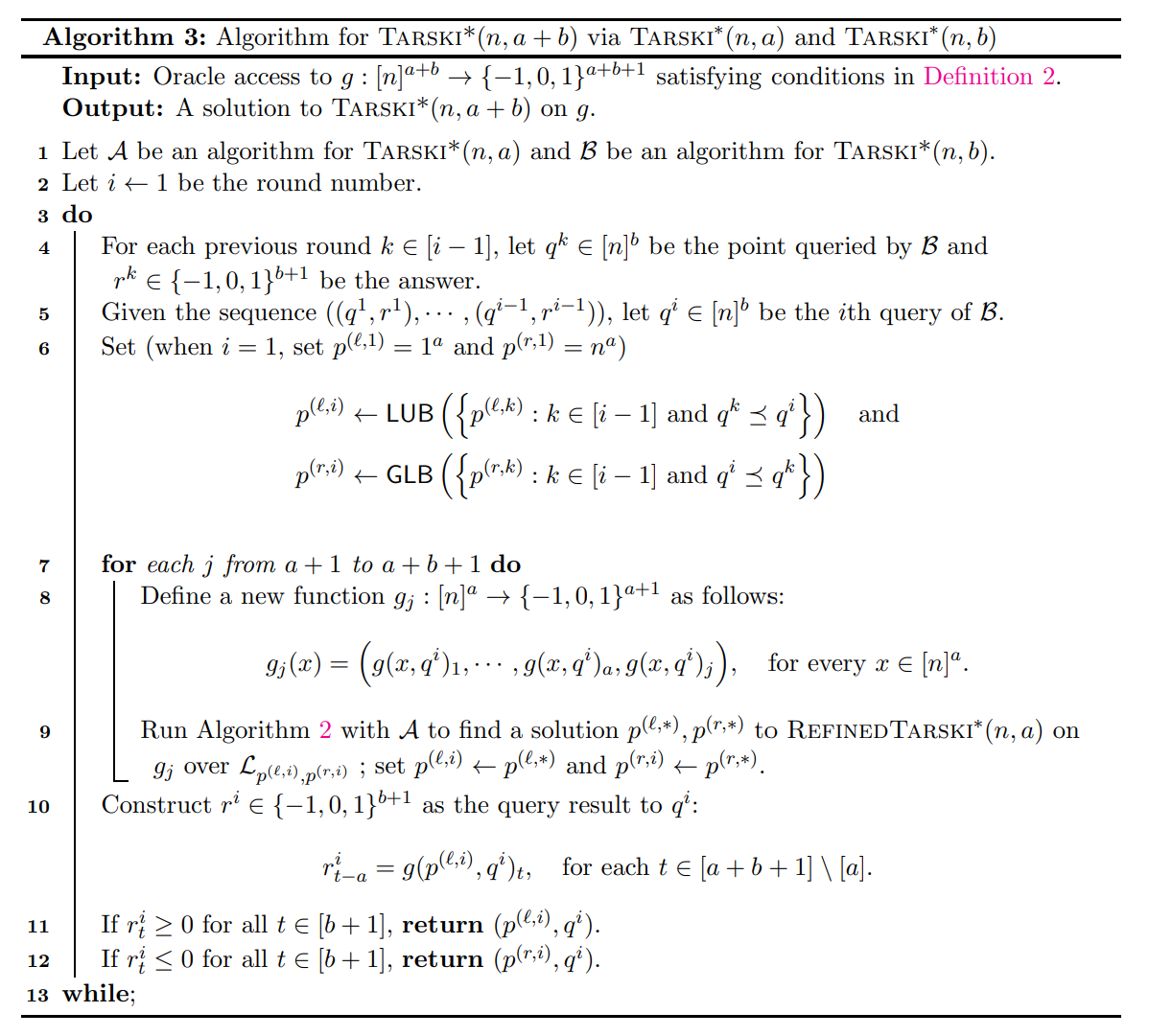
求解 \(Tarski*(n,a+b)\)
现在的目标是,假设我们能求解\(Tarski*(n,a),Tarski*(n,b)\)如何求解\(Tarski*(n,a+b)\)
一个很自然的想法是,对于\([a+1,a+b]\)维,我们直接枚举它们的值(假设枚举了\(q_i\))然后我们执行如下算法:
此时我们会发现,在前\(a\)维的切面上,\(p^{(l,i)},p^{(r,i)}\)之间的点,这些点的\(g(x)\)在\(a+1\)维之后都相等(由于Refined Tarski*的作用),前\(a\)维肯定非负或非正,因此,如果我们能保证\([a+1,a+b+1]\)维也非负/非正,那么就做完了。
如何保证呢,我们发现实际上这可以转化成一个求解\(Tarski(n,b)\)的过程,如果我们可以保证对\(q_i\)的回复满足
Definition2,那么最终就能找到一组非正或非负的回复。
在这里,每次询问\(q_i\)时,我们都会找到之前的询问记录,保证下界要比以前的大,上界要比以前的小,这样的回复一定是可以满足Definition2的(因为\((q_i,0)+g(p^{(l,i)},q_i)\)关于\(q_i\)单调)。因此,假设\(Tarski*(n,a)\)复杂度是\(q(n,a)\),\(Tarski*(n,b)\)复杂度是\(q(n,b)\),那么我们在\(O((b+1)q(n,a)q(n,b))\)内完成了\(Tarski*(n,a+b)\)
最后
由于\(Tarski*(n,2)\)可以在\(O(\log n)\)内完成,因此\(Tarski*(n,k)\)可以在\(O(\log^{k/2}n)\)完成,进而证明了Tarski(n,k)的复杂度